
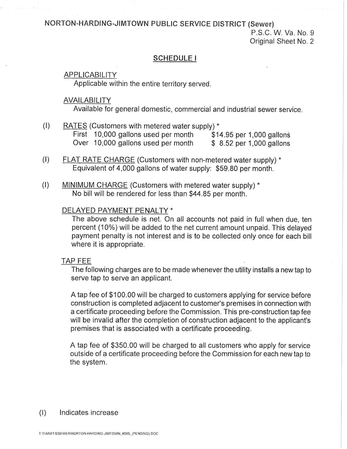
- SEWER
- …
- SEWER
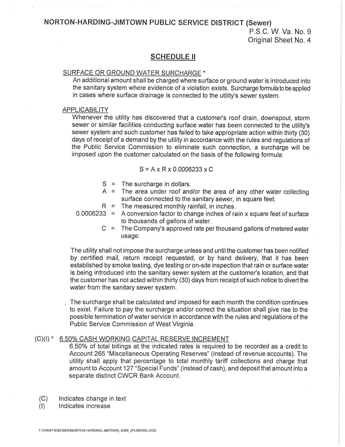
- SEWER
- …
- SEWER
- Sign up for a creative consultation







“This is an Equal Opportunity Program. Discrimination is prohibited by Federal Law.” To file a complaint of discriminationwrite USDA, Director, Office of Civil Rights, 1400 Independence Avenue, S.W., Washington, DC 20250-9410 or call (800) 795-3272 (Voice) or (202) 720-6382 (TDD).






